Um komplexe Struktur-Dynamik Beziehungen in Systemen mit miteinander konkurrierenden Wechselwirkungen systematisch zu verstehen, beginnen wir meist bei einfachen Modellsystemen, simplen starren Molekülen mit wenigen Wechselwirkungen, um uns schrittweise zu komplexeren Systemen vorzuarbeiten.

Vom Modell zur Komplexität

Die Abbildung zeigt ein Beispiel wachsender Komplexität von Flüssigkeiten an inneren Oberflächen und in verschiedenen Confinementsituationen. Angefangen von einfachen van-der-Waals-Flüssigkeiten, über Wasserstoffbrücken bildende Systeme zu Polymeren und Biomolekülen werden die Systeme immer komplexer bis hin zu ionischen Flüssigkeiten, in denen unter Umständen Wasserstoffbrücken, Coulombkräfte und hydrophobe Wechselwirkung gleichzeitig eine Rolle spielen.

Forschungsthemen

Bild: AG Blochowicz

Spektrale Form am Glasübergang

Ein wichtige Frage der aktuellen Forschung sind die Unterschiede in der spektralen Form der strukturellen Relaxation von glasbildenden Flüssigkeiten bei Verwendung verschiedener experimenteller Methoden. Auch die Existenz einer sog. „generischen“ spektralen Form wird schon seit längerem diskutiert.

Daten verschiedener glasbildender Flüssigkeiten gemessen durch BDS ( links) und DDLS (rechts)
Daten verschiedener glasbildender Flüssigkeiten gemessen durch BDS ( links) und DDLS (rechts)

Der dielektrische Verlust ϵ′′ bei Experimenten der Breitbandigen Dielektrischen Spektroskopie (BDS) bzw. der Imaginärteil der generalisierten Suszeptibilität χ′′ bei Experimenten der Depolarisierten Dynamischen Lichstreuung (DDLS) enthält mehrere Peaks, die verschiedenen Prozessen der molekularen Dynamik zuzuordnen sind. Die spektrale Form des sogenannten α-Prozesses ist dabei von besonderem Interesse, da dieser mit der makroskopischen Viskosität verknüpft ist.

Beim Vergleich verschiedener glasbildender Flüssigkeiten in der BDS zeigt der α-Prozess stark abweichende Formparameter βKWW der korrespondierenden Korrelationsfunktion, welche typischerweise zwischen 0,5 und 0,8 liegen. In der DDLS ergibt sich ein anderes Bild. Hier zeigt eine große Anzahl von Flüssigkeiten die gleiche, „generische“ spektrale Form, welche bei hohen Frequenzen durch ein Potenzgesetz ∝ ω−1/2 beschrieben werden kann. Die Abbildung zeigt Daten verschiedener glasbildender Flüssigkeiten gemessen durch BDS (links) und DDLS (rechts). Die gezeigten Substanzen enthalten sehr unterschiedlich polare Flüssigkeiten, Van-der-Waals-Flüssigkeiten, wasserstoffbrückenbildende Systeme und einige ionische Flüssigkeiten.

Bild: AG Blochowicz

Wasserstoffbrückenbildende Systeme

Ausgehend von Flüssigkeiten mit van-der-Waals-Bindungen stellen die wasserstoffbrückenbildenden Flüssigkeiten sowohl strukturell wie auch dynamisch die nächste Komplexitätsstufe dar, da Wasserstoffbrückenbindungen (H-Brücken) stärker und mehr gerichtet sind.

Erst durch die Kombination aller Methoden ergibt sich ein schlüssiges Gesamtbild.
Erst durch die Kombination aller Methoden ergibt sich ein schlüssiges Gesamtbild.

Diese einfache Tatsache führt bereits dazu, dass sich in wasserstoffbrückenbildenden Systemen Phasenübergangstemperaturen drastisch ändern (z.B. ist die Schmelztemperatur von Alkoholen um etwa 100° höher als die der vergleichbaren Alkane) und sich – mitunter temporäre – supramolekulare Strukturen ausbilden. Gerade letztere Eigenschaft hat weitreichende Konsequenzen für eine Vielzahl physikalischer, chemischer und biologischer Prozesse. Ausgehend von den Monohydroxyalkohlen (nur eine OH-Gruppe) steigt dabei die Komplexität mit zunehmender Anzahl an H-Brücken an.

Um nun die einzelnen Bewegungsmechanismen besser zu verstehen, wird die gesamte Bandbreite der experimentellen Messmethoden genutzt. Als hilfreich erweist es sich dabei, die zu untersuchende Probe zu unterkühlen, da sich die jeweiligen Prozesse dynamisch trennen und so besser ihrem Ursprung zuordnen lassen.

Bereits die vermeintlich einfachen Monohydroxyalkohle zeigen schon mehrere dynamische Prozesse,deren Ursprung bisher nicht vollends verstanden ist. Hier gilt dem sogenannten Debye-Prozess seit langem großes wissenschaftliche Interesse, der mit der Reorienterierungsdynamik transienter H-Brücken gebundener Ketten in Verbindung gebracht wird. Da sich das Dipolmoment der einzelnen OH-Gruppen entlang einer solchen Kette aufsummiert, ist dieser Prozess dominant in der dielektrische Spektroskopie,d.h. der kollektiven Reorientierung permanenter Dipolmomente. Werden hingegen Messmethoden verwendet, die lokale dielektrische Größen messen (Triplett-Solvatationsdynamik) oder auf andere Moleküleigenschaften sensitiv sind (depolarisierte dynamische Lichtstreuung), so spielt dieser Debye-Prozess eine untergeordnete Rolle. Auf diese Weise lassen sich mit den genannten Messtechniken verschiedene dynamische Facetten derselben Probe untersuchen, und erst durch die Kombination aller Methoden ergibt sich ein schlüssiges Gesamtbild.

Bild: AG Blochowicz

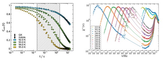
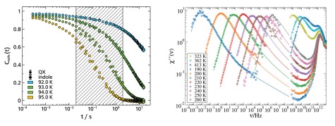
Binäre Systeme und Confinement

Ein Schritt in Richtung Verständnis komplexer Systeme ist die Untersuchung von binären Mischungen. Besonders interessant sind dabei Mischungen aus kleine Molekülen und Makromolekülen, wie z.B. Polymeren oder Proteinen. Solche Systeme sind in Materialentwicklung und Biologie von großer Bedeutung.

Spektren der dielektrischen Spektroskopie zeigen zwei getrennte Peaks für die Dynamik der Makromoleküle und des Lösungsmittels.
Spektren der dielektrischen Spektroskopie zeigen zwei getrennte Peaks für die Dynamik der Makromoleküle und des Lösungsmittels.

Charakteristisch ist in solchen Mischungen die große Diskrepanz zwischen der Dynamik der Lösungsmittel- und der Makromoleküle, denn typischerweise bewegen sich erstere um viele Größenordnungen schneller. In Extremfällen führt das sogar dazu, dass Mischungen zwei getrennte Glasübergangstemperaturen besitzen, die in kalorimetrischen Untersuchungen beobachtet werden können. In den Spektren der dielektrischen Spektroskopie zeigen sich außerdem zwei getrennte Peaks für die Dynamik der Makromoleküle und des Lösungsmittels (siehe Abbildung).

Das Verhalten der Lösungsmittel-Moleküle ist durch den Einfluss der Makromoleküle signifikant anders als in der reinen Flüssigkeit. Das liegt unter anderem daran, dass die Makromoleküle aus Sicht des Lösungsmittels quasi starr sind und deshalb als eine Art Matrix wirken, die das Lösungsmittel örtlich einschränkt. Durch die Einschränkung ist die Dynamik des Lösungsmittels extrem heterogen, es gibt also eine breite Verteilung an Relaxationszeiten, je nachdem wo sich ein Lösungsmittel-Teilchen gerade aufhält. Außerdem treten in der Nähe der Makromolekül-Matrix interessante Effekte auf, wie zum Beispiel, dass Lösungsmittelmoleküle dort eine Tendenz für bestimmte Ausrichtungen oder Aufenthaltsorte besitzen.

Im Grenzfall einer unendlich langsamen Matrix spricht man von Confinement. Solche Systeme realisiert man z.B. indem man eine Flüssigkeit in schwamm- oder kanalartige Poren füllt. Auch im Confinement verhalten sich Flüssigkeiten signifikant anders als sie es in ihrer reinen Form tun. Die genauen Eigenschaften hängen u.a. von der Größe und der Oberfläche der Poren ab und manchmal kann man eine Substanz nur in kleinen Poren als Glas präparieren, während dieser Zustand im Bulk unzugänglich ist, wie z.B. bei Wasser in Nanoconfinement.

Bild: AG Blochowicz

Ionische Flüssigkeiten und Ionogele

Ionische Flüssigkeiten bestehen komplett aus Anionen und Kationen, sind also Salze. Und doch sind sie flüssig bei Raumtemperatur. Aufgrund der Coulomb-Kräfte besitzen sie sehr interessante Eigenschaften.

Ein Ionogel mit der Konsistenz eines Wackelpuddings ist trotzdem ein hervorragender Ionenleiter.
Ein Ionogel mit der Konsistenz eines Wackelpuddings ist trotzdem ein hervorragender Ionenleiter.

Ein Beispiel für diese interessanten Eigenschaften ist der verschwindende Dampfdruck. So wird ein Tuch, das durch eine ionische Flüssigkeit benetzt ist, nie trocknen. Ihre hohe Ionenleitfähigkeit macht sie außerdem interessant für Energie-Anwendungen, zum Beispiel als Elektrolyte. Die schiere Zahl der möglichen Kombinationen von Anionen und Kationen – Schätzungen gehen von ca. 1018 aus – macht ein trial-and-error Prinzip unpraktikabel, weswegen ein tieferes Verständnis der Ionendynamik wünschenswert ist, um die ideale ionische Flüssigkeit für eine jeweilige Anwendung zu finden.

Wir untersuchen daher das Wechselspiel aus Ionentransport und Strukturbildung, denn viele ionische Flüssigkeiten bilden aufgrund ihrer chemischen Struktur Domänen aus, die aus polaren und unpolaren Molekülgruppen bestehen. Bei Kationen mit langen Alkyl-Ketten zeigt sich zudem, dass es möglich ist die Dynamik von Anionen und Kationen voneinander zu entkoppeln.

Da jedoch flüssige Elektrolyte in Zukunft idealerweise durch feste ersetzt werden sollen um z.B die Gefahr des Auslaufens zu bannen, experimentieren wir mit sogenannten Ionogelen. Diese bestehen neben einer ionischen Flüssigkeit aus einer festen Matrix, wie Gelatine oder Silika.

Die Abbildung zeigt ein auf Gelatine basierendes Ionogel, welches die Konsistenz eines Wackelpuddings hat, jedoch trotzdem ein hervorragender Ionenleiter ist. Dies wird durch die leuchtende LED, welche über das Ionogel an eine Batterie angeschlossen ist, demonstriert. Der Einfluss der festen Matrix auf die Dynamik der Ionen ist hier die wichtigste Forschungsfrage, um das ideale Verhältnis von hoher Leitfähigkeit und hoher mechanischer Stabilität des Ionogels zu finden.

Bild: AG Blochowicz

Methodenentwicklung

Ein wichtiger Aspekt unserer Forschungsarbeit besteht in der Verbesserung und methodischen Weiterentwicklung bestehender experimenteller Techniken. Dies betrifft vor allem die Photonenkorrelationsspektroskopie und die Solvatationsdynamik.

Datensatz aus der Solvationsdynamik (links) und gemischter Datensatz aus Photonenkorrelationsspektroskopie und Tandem-Fabry-Perot-Interferometer (rechts)
Datensatz aus der Solvationsdynamik (links) und gemischter Datensatz aus Photonenkorrelationsspektroskopie und Tandem-Fabry-Perot-Interferometer (rechts)

Die Solvatationsdynamik ist kurz gesagt so etwas wie ”lokale dielektrische Spektroskopie mit optischen Methoden”. Hier geht es vornehmlich darum, das zugängliche Zeitfenster der Methode zu erweitern, in dem die lokale Information zugänglich ist. War bis dato nur ein Zeitfenster von 1 ms bis 1 s verfügbar, konnten wir inzwischen z.B. unter Einsatz neuer Farbstoffe den dynamischen Bereich auf 10−4 bis 10 s erweitern. Der linke Teil der Abbildung zeigt die lokale Relaxation von Methyl-THF, um das zu demonstrieren.

In der Photonenkorrelationsspektroskopie (PCS) geht es methodisch vor allem darum, das Signal-Rausch-Verhältnis zu verbessern und das Signal von ungewollten Artefakten zu befreien. Dies hat bisher dazu geführt, dass es möglich wurde auch bei schwach streuenden Systemen Messdaten Fourier zu transformieren und die Datensätze standardmäßig mit andern Lichtstreutechniken zu kombinieren, so dass nun mit der Lichtstreuung tatsächlich eine Breitbandmethode zur Verfügung steht. Der rechte Teil der Abbildung zeigt einen kombinierten PCS und TFPI Datensatz von Glyzerin als Beispiel.